纪念中国人民抗日战争暨世界反法西斯战争胜利80周年书法、摄影、绘画作品网络展(二)
2025年是中国人民抗日战争暨世界反法西斯战争胜利80周年。为铭记历史、缅怀先烈,弘扬伟大抗战精神和爱国主义情怀,为铭记历史、缅怀先烈,弘扬伟大抗战精神和爱国主义情怀,民盟常德市委会特别举办纪念中国人民抗日战争暨世界反法西斯战争胜利80周年书法、摄影、绘画作品网络展,以笔墨丹青追溯铁血岁月,用镜头焦距凝视和平曙光,期待以此激励广大盟员传承红色基因,赓续奋斗精神,共同谱写中华民族伟大复兴的新篇章。
绘画与雕塑作品
(图片排序不分先后)
书法《清人论书》石俊
书法(青石)《毛祖明常德会战》郭宏忠
书法《就义诗》熊雅彬
书法《宜将不可》尹昌平
书法《铁血守荆南,一腔忠忱卫社稷。丹心垂史册,万斛浩气壮山河》尹华为
书法《习近平在纪念中国人民抗日战争暨世界反法西斯战争胜利八十周年大会上讲话摘录》刘汉军
书法《不忘初心》李安军
书法《毛泽东词一首》戴宛烨
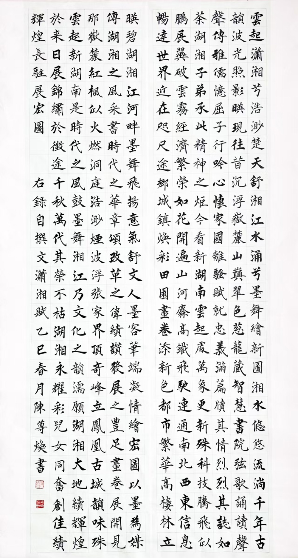
书法《潇湘赋》陈尊焕
书法《勿忘国耻》铁绍勇
篆刻《纪念抗战胜利八十周年》铁绍勇
篆刻《家和则福自生》于荔
绘画与雕塑作品
(图片排序不分先后)
中国画《血沃中华》易凭
中国画《峥嵘岁月》易凭
中国画《铁骨傲冰雪,幽香透国魂》黄志伟
中国画《寻梦壶瓶图》黄志伟
中国画《风骨》李安军
水彩《风车岛的海》张玲
中国画《芙蓉国里》朱德龙
中国画《岭上春光慰和平》李世平
布面油画《锤子毛笔》景杨
中国画《红色记忆》刘世华
水彩《山涧》张作为
水彩《红军走过的地方》辜宗泽
麻质画(综合材料)《青春护航》李健鹰
雕塑《福满山乡》左波
中国画《井冈春色》王彩琼
中国画《山河锦绣》黄黎


